Division Question

Are you struggling with division questions in math? You’re not alone! Division can be tricky, but with a little practice and some helpful tips, you’ll be dividing like a pro in no time. In this article, we’ll cover some key strategies for tackling division questions effectively.

One of the most important things to remember when dividing is to take it step by step. Start by dividing the first digit of the dividend by the divisor, and then multiply the divisor by the quotient to get the partial product. Repeat this process for each digit in the dividend until you reach the end.

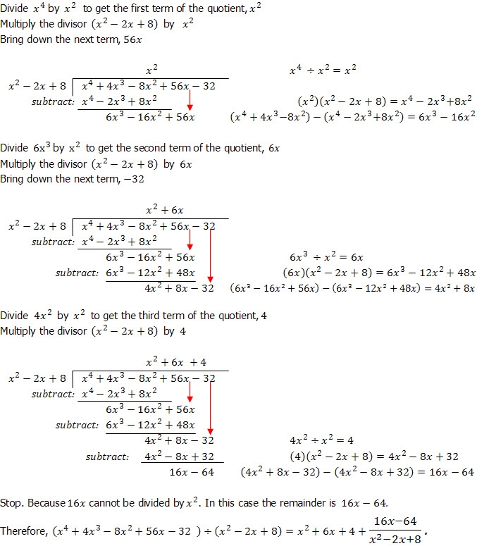
Algebraic Long Division Question 2 With Fully Worked SolutionAlgebraic Long Division Question 2 With Fully Worked Solution

Division Question

Another helpful tip is to check your work as you go. After completing each step of the division process, double-check your work to ensure accuracy. This can help you catch any mistakes early on and make corrections before moving on to the next step.

When dealing with division questions that involve remainders, don’t forget to include the remainder in your final answer. The remainder represents the amount left over after dividing the dividend by the divisor, and it’s an important part of the solution.

Practice makes perfect when it comes to division. The more you practice dividing numbers, the more comfortable and confident you’ll become with the process. Don’t be afraid to work through different types of division questions to strengthen your skills and improve your accuracy.

Remember, division is just a series of simple steps that, when followed carefully, can lead to the correct answer every time. By breaking the division process down into manageable steps and practicing regularly, you’ll soon be dividing numbers with ease.

So, next time you encounter a division question, don’t panic! Take a deep breath, remember these tips, and approach the question methodically. With a little practice and perseverance, you’ll be dividing numbers like a pro in no time. Happy dividing!

Download and Print Division Question Listed below

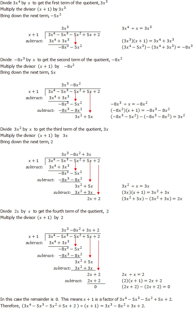
Algebraic Long Division Question 1 With Fully Worked SolutionAlgebraic Long Division Question 1 With Fully Worked Solution

Algebraic Long Division Question 6 With Fully Worked SolutionAlgebraic Long Division Question 6 With Fully Worked Solution

Long Division Worksheet Answer Key Long Division WorksheetsLong Division Worksheet Answer Key Long Division Worksheets

Division QuestionDivision Question (classlibnicholson.z21.web.core.windows.n…)

Division Question

Division Question is a useful resource commonly used in education, workplaces, and homes. It helps structure information and encourages better understanding.

In schools, educators use Division Question to reinforce lessons. As an example, a math worksheet might include simple addition problems, while an English worksheet may have vocabulary exercises.

Outside the classroom, worksheets are also popular in offices. Division Question can be used to track spending. Employees may use worksheets to monitor progress.

The best part about worksheets is their versatility. You can choose between physical or digital formats. Guardians often use them at home to encourage extra practice through fun activities.

To conclude
Though simple, Division Question are effective for education, work, and personal development. Whether you’re a student, a professional, or a caregiver, using worksheets can help you reach your goals in a structured way.