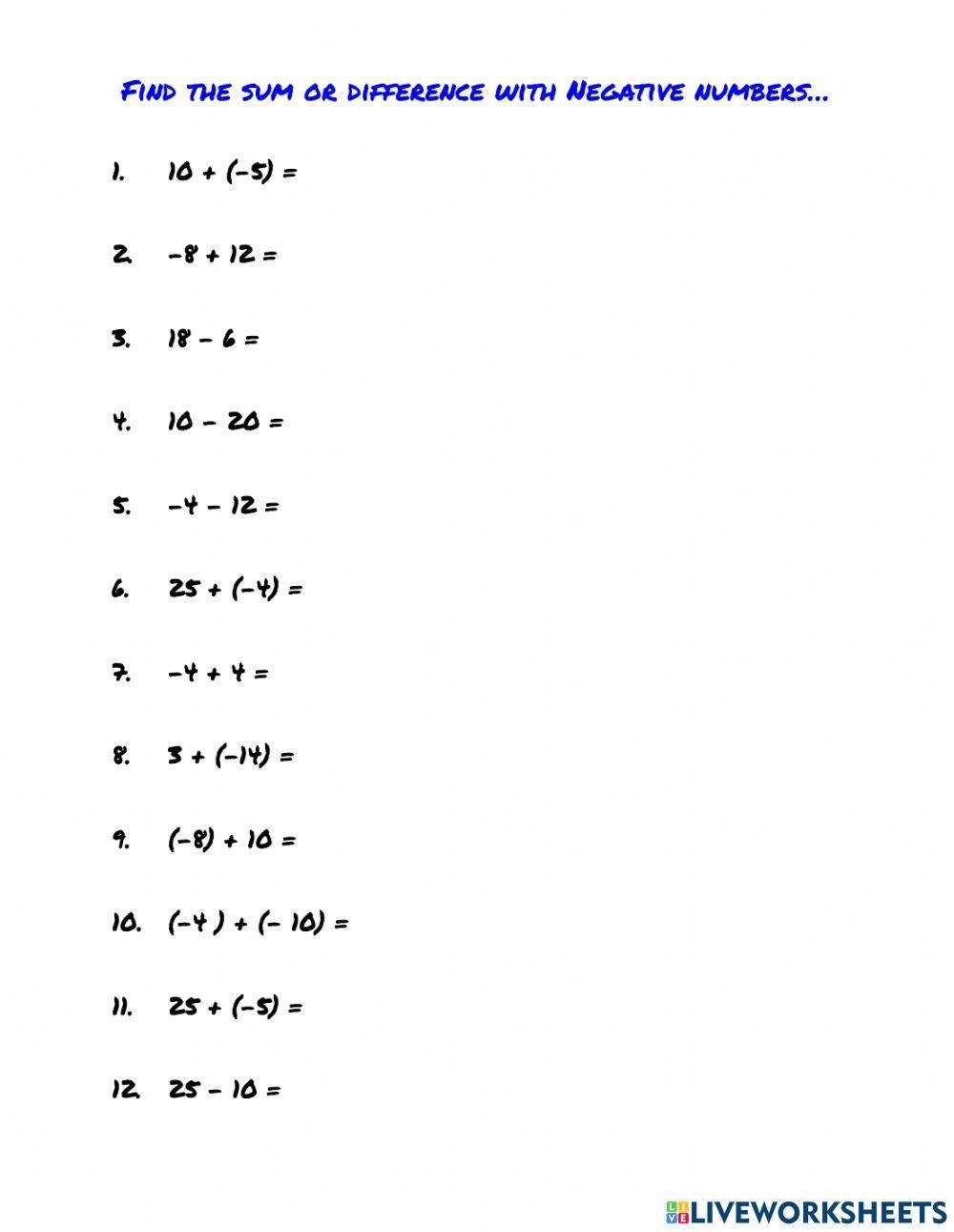
Adding Integers Worksheet

Adding integers is a fundamental math skill that students need to master in order to excel in more advanced math concepts. It is essential for students to understand the concept of integers and how to add them together in order to solve various mathematical problems. By practicing adding integers regularly, students can build a strong foundation in math that will benefit them in their academic and professional lives.

One effective way for students to practice adding integers is by using worksheets. Adding integers worksheets provide students with the opportunity to practice their skills in a structured and organized manner. These worksheets typically contain a series of integer addition problems of varying difficulty levels, allowing students to gradually improve their skills and build confidence in their abilities.

Adding And Subtracting Integers Worksheet Grade 9 Worksheet Live Adding And Subtracting Integers Worksheet Grade 9 Worksheet Live (worksheets.clipart-library.com)

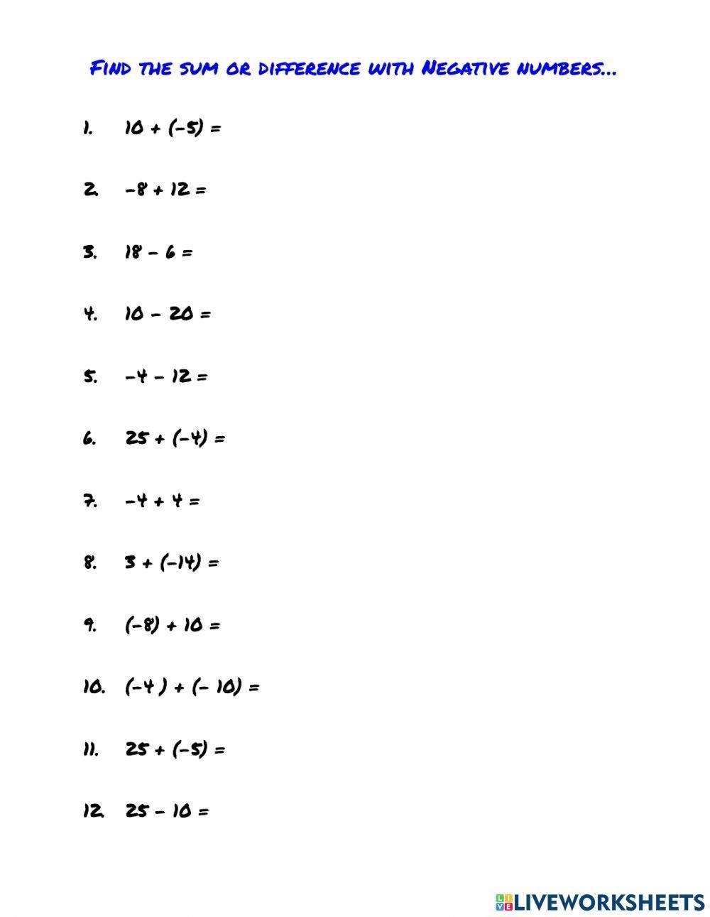
Adding Integers Worksheet

Adding integers worksheets often include a mix of positive and negative numbers, challenging students to apply their understanding of integer rules and operations. These worksheets can cover basic addition of integers, as well as more complex problems such as adding multiple integers together or solving word problems involving integers. By working through these worksheets, students can improve their computational skills and develop a deeper understanding of integer concepts.

Furthermore, adding integers worksheets can be used as a valuable teaching tool for educators. Teachers can use these worksheets to assess students’ understanding of integer addition, identify areas where students may be struggling, and provide targeted instruction to help students improve. Worksheets can also be used for independent practice or homework assignments, allowing students to reinforce their learning outside of the classroom.

Overall, adding integers worksheets are a valuable resource for students and educators alike. By regularly practicing with these worksheets, students can improve their math skills, build confidence in their abilities, and develop a strong foundation in integer addition. Whether used in the classroom or at home, adding integers worksheets can help students master this essential math skill and prepare them for success in more advanced math courses.

In conclusion, adding integers worksheets are an effective tool for practicing and mastering the skill of adding integers. By incorporating these worksheets into their learning routine, students can improve their math skills, enhance their understanding of integers, and build a solid foundation for future math success. With regular practice and dedication, students can become proficient in adding integers and excel in their mathematical pursuits.


Download and Print Adding Integers Worksheet Listed below

Free Adding Negative Integers Worksheet Download Free Adding Negative Free Adding Negative Integers Worksheet Download Free Adding Negative (worksheets.clipart-library.com)

Adding Integers Worksheet Pdf E streetlightAdding Integers Worksheet Pdf E Streetlight (www.e-streetlight.com)

Adding Integers Worksheet Pdf E streetlightAdding Integers Worksheet Pdf E Streetlight (www.e-streetlight.com)

Adding Integers WorksheetsAdding Integers Worksheets (worksheetplace.com)

Adding Integers Worksheet Grade 6 Or 7 Addition Of Integers Adding Integers Worksheet Grade 6 Or 7 Addition Of Integers (worksheets.clipart-library.com)

Adding Integers Worksheet

Print-ready files act as a vital tool for anybody trying to stay on track, reduce time spent, as well as infusing creativity to their projects. Such tools are flexible, user-friendly, as well as being personalizable, making them ideal for any job or event. Whether you need a planner to organize your life, or maybe a creative card for a memorable day, they’re designed to boost your productivity.

Thank you for reading! I hope you found this write-up Adding Integers Worksheet helpful . Please feel free to leave a remark or share your thoughts below.