Exponents And Powers Class 8 Worksheet

Do you need some extra practice with exponents and powers in your Class 8 math class? Look no further! We have a great worksheet that will help you solidify your understanding of this important topic. Exponents and powers can be tricky, but with a little practice, you’ll be a pro in no time.

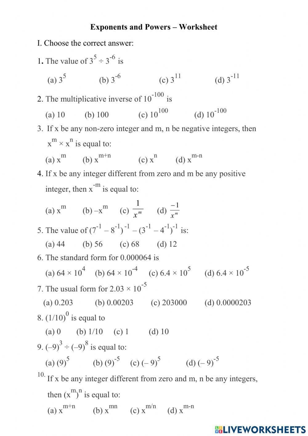
Our Exponents And Powers Class 8 Worksheet covers a variety of problems that will challenge you to apply your knowledge in different ways. From basic exponent rules to more complex problems involving powers of 10, this worksheet has it all. Whether you’re just starting to learn about exponents or you need some extra practice, this worksheet is perfect for you.

Class 8 Exponents And Powers Worksheet Worksheets LibraryClass 8 Exponents And Powers Worksheet Worksheets Library

Exponents And Powers Class 8 Worksheet

One of the key concepts covered in this worksheet is the relationship between exponents and multiplication. You’ll practice multiplying numbers with the same base but different exponents, as well as multiplying numbers with different bases but the same exponent. These problems will help you understand how exponents work and how they can be used to simplify calculations.

In addition to multiplication, this worksheet also includes problems involving division with exponents. You’ll practice dividing numbers with the same base but different exponents, as well as dividing numbers with different bases but the same exponent. These problems will challenge you to think critically about how exponents can be used to solve division problems efficiently.

Finally, this worksheet covers the properties of exponents, including the power of a power rule and the zero exponent rule. You’ll practice applying these rules to simplify expressions and solve problems involving exponents. These problems will help you deepen your understanding of exponents and powers and prepare you for more advanced topics in math.

So, if you’re looking to improve your skills with exponents and powers, give our Class 8 Worksheet a try. You’ll gain confidence in your abilities and be well-prepared for any math challenges that come your way. Happy practicing!

Download and Print Exponents And Powers Class 8 Worksheet Listed below

301 Moved Permanently Worksheets Library301 Moved Permanently Worksheets Library

Exponents Powers Laws Of Exponents Worksheet Live Worksheets Exponents Powers Laws Of Exponents Worksheet Live Worksheets

Worksheets For Class 7 Exponents And Powers Chapter 13 Worksheets For Class 7 Exponents And Powers Chapter 13

Multiplying Rational Expressions Worksheet 8th Math Cbse Exponents And Multiplying Rational Expressions Worksheet 8th Math Cbse Exponents And (www.pinterest.com)

Exponents And Powers Class 8 Worksheet

Exponents And Powers Class 8 Worksheet is a helpful tool used in schools, workplaces, and homes. It helps structure information and makes activities more engaging.

In classrooms, teachers use Exponents And Powers Class 8 Worksheet to assess student understanding. As an example, a math worksheet might include fractions to solve, while an English worksheet may have grammar questions.

Outside the classroom, they are used for professional planning. Exponents And Powers Class 8 Worksheet can be used to track spending. Project managers may use worksheets to create timelines.

One great thing about worksheets is their flexibility. They’re available in both digital and print form. Parents often use them at home to support their child’s learning through fun activities.

To conclude
Worksheets are simple but powerful tools for learning, organizing, and planning. Whether you’re a student, a professional, or a parent, using worksheets can help you reach your goals in a structured way.